Order Of Operations Worksheet Act Math 7th Grade Math Worksheets
Order Of Operations Worksheet Act Math 7th Grade Math Worksheets
Order Of Operations Worksheet Act Math 7th Grade Math Worksheets – You may have come across an Order Of Operations Worksheet, but what exactly is it? In this post, we’ll discuss what it is, why it’s essential, and also exactly how to get a Order Of Operations Worksheet 7th Grade With Answers Hopefully, this details will certainly be handy for you. Your students should have a fun, efficient method to examine the most important principles in mathematics. Additionally, worksheets are a great method for trainees to exercise brand-new abilities as well as review old ones.
What is the Order Of Operations Worksheet?
An order of operations worksheet is a kind of mathematics worksheet that calls for trainees to perform mathematics operations. Pupils who are still discovering exactly how to do these jobs will certainly discover this kind of worksheet beneficial.
The major purpose of an order of operations worksheet is to aid students learn the appropriate way to resolve mathematics formulas. They can assess it by referring to a description web page if a student does not yet understand the principle of order of operations. In addition, an order of operations worksheet can be split right into a number of groups, based upon its problem.
Another crucial objective of an order of operations worksheet is to show pupils just how to execute PEMDAS operations. These worksheets begin with basic problems connected to the fundamental regulations and also accumulate to more complicated issues entailing every one of the guidelines. These worksheets are a wonderful method to introduce young learners to the excitement of addressing algebraic formulas.
Why is Order of Operations Important?
One of the most crucial points you can learn in math is the order of operations. The order of operations guarantees that the math issues you address are consistent.
An order of operations worksheet is a fantastic means to instruct pupils the correct method to fix math equations. Before students begin utilizing this worksheet, they might require to examine concepts related to the order of operations. To do this, they need to evaluate the principle web page for order of operations. This idea web page will certainly provide trainees a summary of the keynote.
An order of operations worksheet can help pupils create their abilities in addition and subtraction. Natural born player’s worksheets are a best way to assist pupils discover about the order of operations.
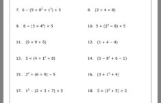
Order Of Operations Worksheet 7th Grade With Answers
7Th Grade Math Worksheets Free Printable With Answers Free Printable
Order Of Operations Worksheet 7th Grade With Answers
Order Of Operations Worksheet 7th Grade With Answers provide an excellent resource for young students. These worksheets can be easily personalized for particular requirements.
The Order Of Operations Worksheet 7th Grade With Answers can be downloaded free of cost and can be printed out. They can then be evaluated utilizing addition, division, multiplication, as well as subtraction. Trainees can additionally make use of these worksheets to assess order of operations and using exponents.
