FREE 11 Sample Order Of Operations Worksheet Templates In PDF
FREE 11 Sample Order Of Operations Worksheet Templates In PDF
FREE 11 Sample Order Of Operations Worksheet Templates In PDF – You may have heard of an Order Of Operations Worksheet, however what precisely is it? In addition, worksheets are a terrific means for trainees to exercise new abilities and also testimonial old ones.
What is the Order Of Operations Worksheet?
An order of operations worksheet is a type of math worksheet that requires trainees to execute math operations. Students who are still learning how to do these tasks will locate this kind of worksheet valuable.
The primary function of an order of operations worksheet is to assist students learn the right way to solve mathematics equations. They can evaluate it by referring to a description web page if a student does not yet understand the concept of order of operations. Furthermore, an order of operations worksheet can be separated right into several categories, based on its problem.
Another essential purpose of an order of operations worksheet is to instruct trainees exactly how to carry out PEMDAS operations. These worksheets begin with simple troubles related to the fundamental regulations as well as accumulate to extra complex issues including all of the guidelines. These worksheets are a terrific way to introduce young learners to the exhilaration of resolving algebraic formulas.
Why is Order of Operations Important?
One of the most important points you can learn in math is the order of operations. The order of operations makes certain that the mathematics troubles you address are consistent.
An order of operations worksheet is a wonderful method to show trainees the right means to resolve math equations. Before students begin utilizing this worksheet, they may require to examine principles associated to the order of operations.
An order of operations worksheet can help students develop their skills in addition as well as subtraction. Prodigy’s worksheets are a perfect method to assist trainees find out concerning the order of operations.
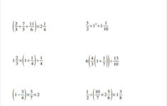
Order Of Operations With Decimals And Fractions Worksheet
Order Of Operations With Positive Decimals Four Steps A
Crazy Order Of Operations Decimals And Fractions
The Decimals And Fractions Mixed A Math Worksheet Fractions
Order Of Operations With Decimals And Fractions Worksheet
Order Of Operations With Decimals And Fractions Worksheet supply a great resource for young students. These worksheets can be quickly personalized for details requirements.
The Order Of Operations With Decimals And Fractions Worksheet can be downloaded free of charge as well as can be published out. They can after that be assessed making use of addition, division, subtraction, and multiplication. Trainees can additionally utilize these worksheets to assess order of operations and the use of backers.


