FREE 11 Sample Order Of Operations Worksheet Templates In PDF

FREE 11 Sample Order Of Operations Worksheet Templates In PDF

FREE 11 Sample Order Of Operations Worksheet Templates In PDF

FREE 11 Sample Order Of Operations Worksheet Templates In PDF

FREE 11 Sample Order Of Operations Worksheet Templates In PDF – You may have heard of an Order Of Operations Worksheet, but what exactly is it? In addition, worksheets are an excellent means for students to practice new abilities and also testimonial old ones.

What is the Order Of Operations Worksheet?

An order of operations worksheet is a kind of math worksheet that needs trainees to carry out mathematics operations. These worksheets are divided into three main sections: subtraction, addition, and multiplication. They also consist of the examination of parentheses and also exponents. Trainees that are still learning just how to do these tasks will certainly discover this sort of worksheet valuable.

The primary objective of an order of operations worksheet is to assist pupils find out the right means to resolve math formulas. If a trainee does not yet comprehend the principle of order of operations, they can evaluate it by describing an explanation page. In addition, an order of operations worksheet can be separated right into numerous categories, based upon its difficulty.

An additional crucial purpose of an order of operations worksheet is to show trainees exactly how to do PEMDAS operations. These worksheets start off with basic issues associated with the basic policies and also develop to extra complicated problems including every one of the guidelines. These worksheets are a fantastic way to introduce young students to the excitement of solving algebraic equations.

Why is Order of Operations Important?

Among the most vital points you can learn in math is the order of operations. The order of operations makes sure that the mathematics troubles you resolve correspond. This is necessary for tests and also real-life computations. When addressing a math issue, the order needs to begin with exponents or parentheses, followed by addition, subtraction, and also multiplication.

An order of operations worksheet is a wonderful method to teach students the proper means to address math formulas. Before trainees begin utilizing this worksheet, they may require to examine concepts connected to the order of operations. To do this, they should evaluate the idea page for order of operations. This concept web page will certainly offer trainees a review of the keynote.

An order of operations worksheet can assist pupils establish their skills in addition and subtraction. Natural born player’s worksheets are an ideal means to help pupils discover concerning the order of operations.

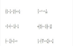
Order Of Operations With Fractions Worksheet

Order Of Operations With Fractions Worksheet

Order Of Operations With Fractions Worksheet supply an excellent source for young learners. These worksheets can be quickly tailored for specific demands. They can be located in 3 degrees of problem. The very first level is easy, requiring pupils to practice making use of the DMAS method on expressions consisting of 4 or even more integers or 3 drivers. The second level calls for students to make use of the PEMDAS approach to streamline expressions using external as well as internal parentheses, brackets, as well as curly braces.

The Order Of Operations With Fractions Worksheet can be downloaded totally free and also can be published out. They can after that be evaluated making use of addition, division, subtraction, and also multiplication. Pupils can also use these worksheets to review order of operations and using backers.

Related For Order Of Operations With Fractions Worksheet